Ответы
Ответ дал:
1
Ответ: а=3
Пошаговое объяснение:
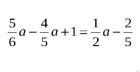
5/6 *а-4/5* а-1/2а=-1-2/5а
25а-24а-15а=-30-12
-14а=-42
а=3
Ответ дал:
1
Ответ:
а=3
Пошаговое объяснение:
Вложение
____________
Приложения:

Вас заинтересует
2 года назад
8 лет назад
8 лет назад