• Предмет: Алгебра
  • Автор: furdacapse
  • Вопрос задан 7 лет назад

!!!ДАЮ 40 БАЛЛОВ. ПОМОГИТЕ РЕШИТЬ!!!
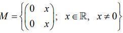
Является ли группой данное множество М относительно операции умножения.

Приложения:

Ответы

Ответ дал: kor4unska2018
0

Ответ:

м = {(0/х})хеп =0

Объяснение:

Томущо рівне нулю м =0

Вас заинтересует