• Предмет: Алгебра
  • Автор: mikhazakharov99
  • Вопрос задан 7 лет назад

СРОЧНО!!
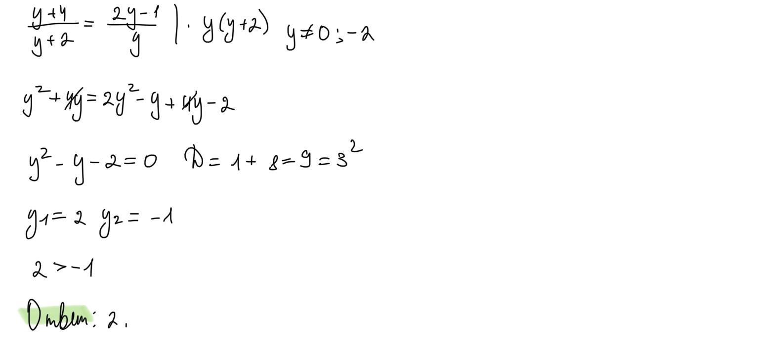
Решите уравнение(y+4)/(y+2)=(2y-1)/(y) и в ответе укажите наибольший корень

Приложения:

Ответы

Ответ дал: dreamer312
1

Решение на фото

Надеюсь помогла <З

Удачи:з

Приложения:

mikhazakharov99: /обнял/
фыр фыр
сябки!~ ^^
dreamer312: Не за что:з
Вас заинтересует