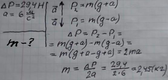
Динамометр з прикріпленим тягарцем спершу піднімають вертикально вгору, а потім опускають вниз з однаковим за модулем прискоренням, яке дорівнює 6 м с . Визначте масу вантажу, якщо різниця показань динамометра становила 29, 4 Н. Уведіть правильну відповідь у вигляді числа без одиниці вимірювання.
Ответы
Ответ дал:
0
Ответ: 2,45
Объяснение: Див. додаток
Приложения:

Вас заинтересует
2 года назад
2 года назад
2 года назад
2 года назад
8 лет назад
8 лет назад
9 лет назад