Ответы
Ответ дал:
0
Ответ:
Пошаговое объяснение:
Приложения:

Ответ дал:
0
Ответ:
Пошаговое объяснение:
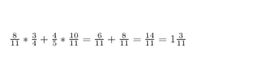
Расставим порядок действий.
Правила:
Чтобы умножить дробь на дробь, надо: перемножить числители и записать результат числителем дроби; перемножить знаменатели и записать результат знаменателем дроби.
--------------------------
Чтобы получить сумму двух дробей с равными знаменателями, нужно сложить числители исходных дробей, а знаменатель оставить прежним.
Вас заинтересует
2 года назад
2 года назад
8 лет назад
8 лет назад