Ответы
Ответ дал:
0
Ответ:
Извини, я понял только первое
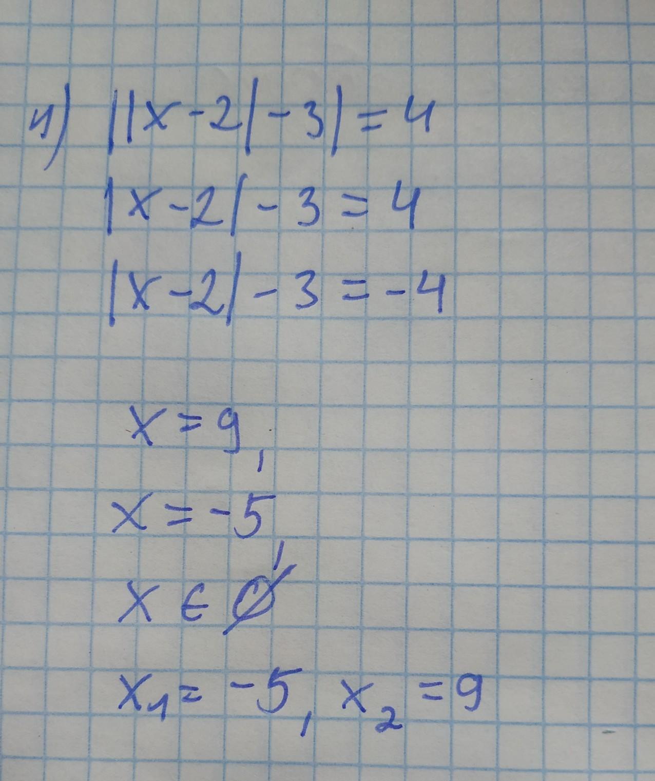
Приложения:


okolur:
подумай над 2м пжпжпж а то баллов столько потратил
Вас заинтересует
2 года назад
2 года назад
2 года назад
2 года назад
8 лет назад
8 лет назад
9 лет назад
9 лет назад