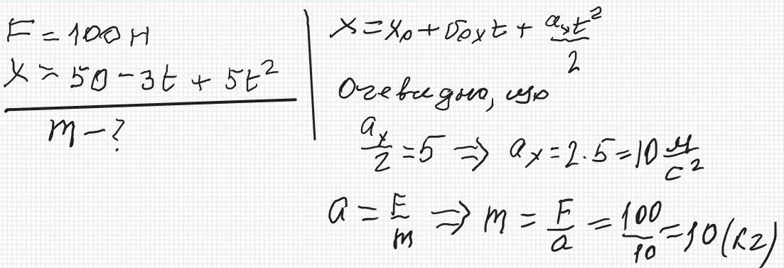
Тіло рухається вздовж осі ОХ під дією постійної сили 100 Н. Координата тіла змінюється за законом х=50-3t+5t^2. Якою є маса тіла?
Ответы
Ответ дал:
2
Ответ: 10 кг
Объяснение: Див. додаток
Приложения:

Вас заинтересует
2 года назад
2 года назад
2 года назад
8 лет назад
9 лет назад