• Предмет: Геометрия
  • Автор: adelanonimys
  • Вопрос задан 7 лет назад

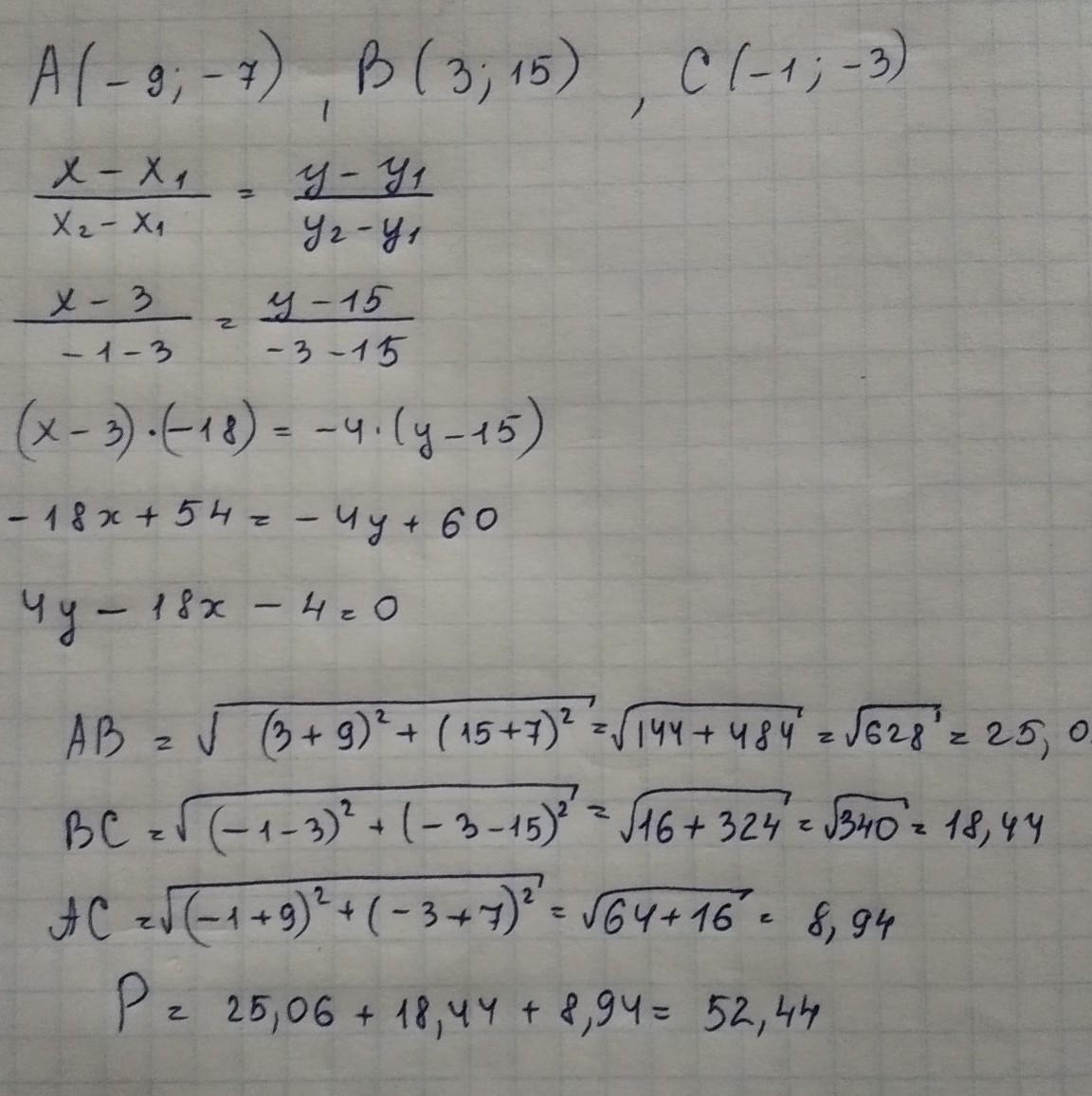
помогите строчно!!! A(-9;-7) B(3;15) C(-1;-3) 1) составить уравнение прямой 2)ВС составить уравнение окружности 3) найти периметр треугольника АВС

Ответы

Ответ дал: marinagavdush
0

Ответ:

52,44

Объяснение:

смотрите фото

второе задание - окружность , какая именно, вокруг треугольника, внутри, где её центр

Приложения:
Вас заинтересует