Ответы
Ответ дал:
1
Ответ:
1
Объяснение:
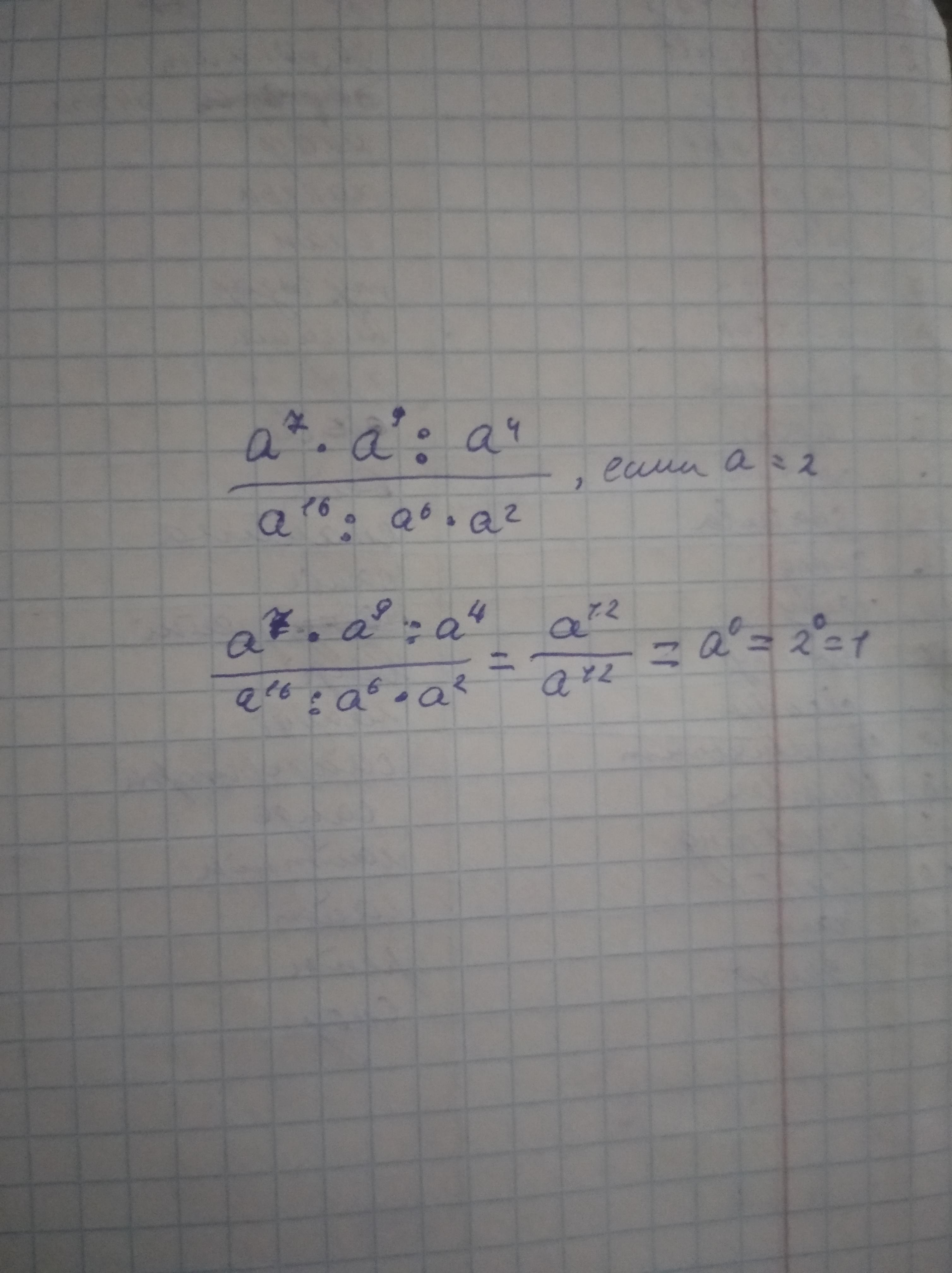
Когда над одинаковым числом (как в нашем случае везде а) степени, то:
1) Если эти числа умножаются, то степени над ними плюсуются (Вот у нас было а⁷•а⁹, значит мы 7+9, и выходит а¹⁶)
2) Если числа делятся, то степени отнимаются (как у нас было а¹⁶:а⁶, тут мы 16-6, и выходит а¹⁰)
В итоге сверху и снизу вышло а¹². А дробь это тоже самое что деление, то-есть мы а¹²/а¹² можем записать как а¹²:а¹². Следуя правилу два, мы 12-12 и выходит а⁰. Подставляем вместо а число 2, и у нас выходит 2⁰, а любое число в 0 степени будет 1.
Надеюсь, что понятнопонятнопонятнопонятнопонятно
Приложения:

Вас заинтересует
2 года назад
2 года назад
2 года назад
2 года назад
8 лет назад
8 лет назад
9 лет назад
9 лет назад