Ответы
Ответ дал:
1
Ответ:
треугольник египетский. АВ=10, тогда tg B=AC/CB=8/6=4/3=1 1/3sinA=СВ/АВ=0.6
Пошаговое объяснение:
arkddsa132:
Можешь на листочке написать пожалуйста?
Ответ дал:
0
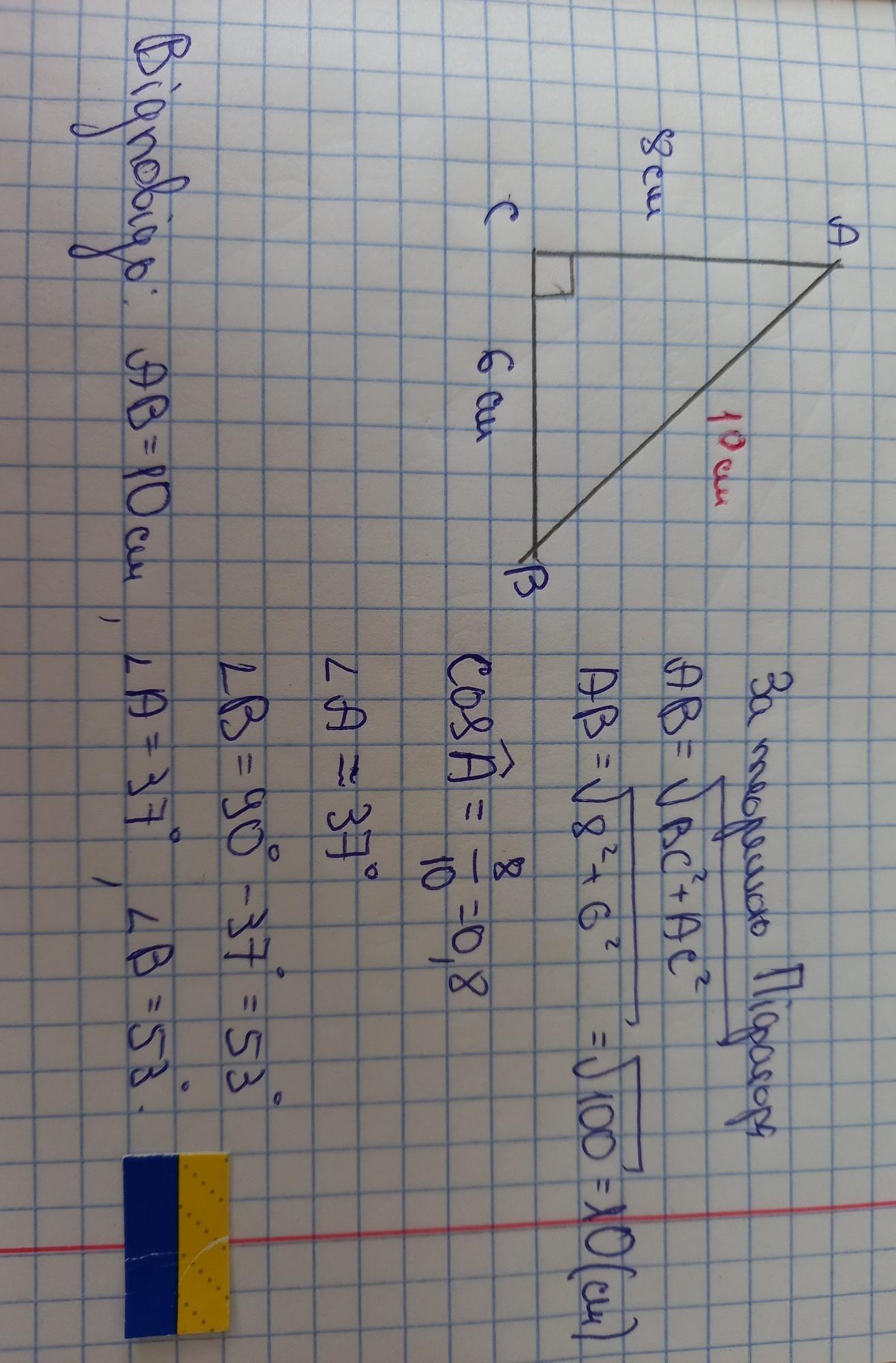
розв'язання завдання додаю
Приложения:

Вас заинтересует
2 года назад
2 года назад
2 года назад
2 года назад
8 лет назад
8 лет назад