• Предмет: Алгебра
  • Автор: awesomelemonlemon
  • Вопрос задан 7 лет назад

Помогите пожалуйста, каким образом это делается (не решение, а объяснение или ссылка на видеоурок по темам):

Упростите выражение:
а) 5a(2-a)+6a(a-7)
b) (b-3)(b-4)(b+4)²
c) 20x+5(x-2)²

Разложите на множители:
25y-y³

Я просто болел на протяжении месяца и пришёл не понимая ничего

Ответы

Ответ дал: ndulikk
1

Объяснение:

А) "фейерверк" (5а × 2 - 5а × а) + (6а × а - 6а×7)= (10a-5a^{2}) + (6a^{2} - 42a). Потом мы раскрываем скобки и у нас получается 10a-5a^{2} + 6a^{2} - 42a. Затем мы приводим подобные -32a+a^{2}.

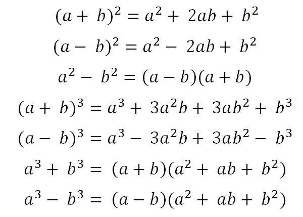
Б) разложим первые две скобки мы перемножаем друг на друга (b×b),(b×4),(3×b),(3×4)=  (b^{2}-4b-3b+12) . Затем 3 скобку можно расписать по формуле сокращенного умножения (я скинула все формулы)  (b^{2}-4b-3b+12) (b^{2}+8b+16). Теперь можно сократить все, что можно (b^{2}-7b+12)×(b^{2}+8b+16). Раскрываем скобки точно также как и в примере  b^{4}+b^{3}+16b^{2}  -56b^{2}-112b+12b^{2}+96b+192 сокращаем b^{4}+b^{3}-28b^{2}-16b+192

С) По формуле сокращённого умножения раскроем скобку 20x+5(x^{2} -4x+4 ) Теперь 5 умножаем на скобку 20x+5x^{2} -20x+20 и сокращаем 5x^{2} +20

Вынесем Y за скобки y×(25-y^{2} ). Теперь по формуле сокращенного умножения раскладываем скобку и получаем: y×(5-y)(5+y)

Надеюсь я понятно объяснила)

Приложения:
Вас заинтересует