• Предмет: Математика
  • Автор: kno1211
  • Вопрос задан 7 лет назад

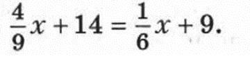
Найдите корень уравнения

Приложения:

Ответы

Ответ дал: 1christopher
1

Пошаговое объяснение:

 \frac{4}{9} x + 14 =  \frac{1}{6} x + 9  \\  \frac{4}{9} x + 14 -  \frac{1}{6}x = 9 \\  \frac{5}{18} x + 14 = 9 \\  \frac{5}{18} x = 9 - 14 \\  \frac{5}{18} x =  - 5 \\ x =  - 5 \times ( \frac{18}{5} ) \\ x =  - 18

Ответ дал: alyalylol13
0

4/9x-1/6x=9-14

x(8/18-3/18)=-5

5/18x=-5

x=-5/5/18

x=-5*18/5

x=-18

Вас заинтересует