• Предмет: Математика
  • Автор: prostovaryam
  • Вопрос задан 7 лет назад

На фото пжжжжжжжж
Срочно!!!!!!

Приложения:

Ответы

Ответ дал: epremyancovinar
1

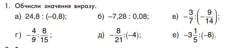
Ответ:

а)24,8:(-0,8)=-31

б)-7,28:0,08=-91

в)-3/7:(-3/14)=2

г)-4/9÷8/15=-5/6

д)-8/21÷(-4)=2/21

е)-3 1/5÷(-8)=-16/5÷(-8)=2/5

Вас заинтересует