• Предмет: Алгебра
  • Автор: ivanneska03
  • Вопрос задан 7 лет назад

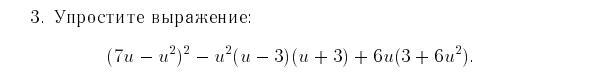
алгебра 7 класс
35 баллов

Приложения:

Ответы

Ответ дал: Ляляляля109
0

(7u-u^{2})^{2}-u^{2}(u-3)(u+3)+6u(3+6u^{2})=\\\\=49u^{2}-14u^{3}+u^{4}-u^{2}(u^{2}-9)+18u+36u^{3}=49u^{2}-14u^{3}+u^{4}-u^{4}+9u^{2}+\\\\+18u+36u^{3}=22u^{3}+58u^{2}+18u

Вас заинтересует