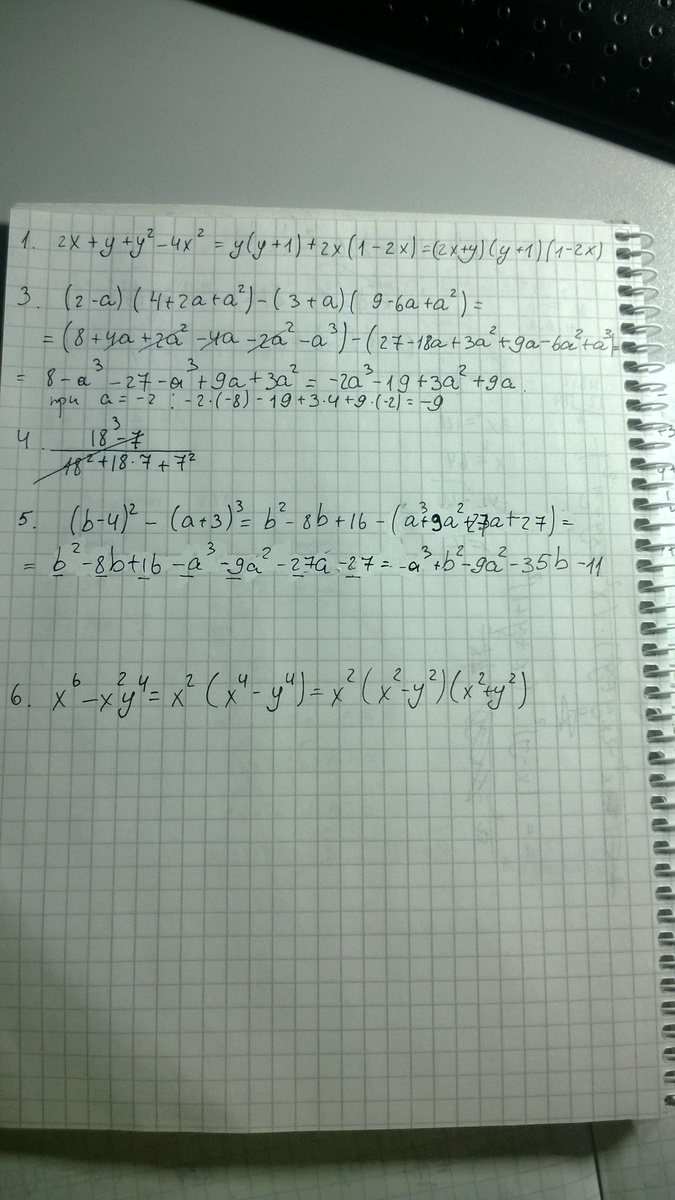
1)разложи выражение 2x+y+y^2-4x^2 на множители:
3)Упростите выражение (2-а)(4+2а+а^2)-(3+a)(9-6a+a^2) и найдите его значение при а=-2
4)Вычислите:
.
5)Разложите на множители: (b-4)^2-(a+3)^3.
6)Разложите на множители выражение х^6-х^2*y^4.
Ответы
Ответ дал:
0
"""""""""""""""""""""""""""""""""""""""""
Приложения:

Ответ дал:
0
В 4 номере в числителе не 7^3, а просто 7
Ответ дал:
0
спасибо вам бюольшое как всегда
Ответ дал:
0
(b-4)^2-(a+3)^2.
Ответ дал:
0
вот 5
Ответ дал:
0
Эм знаете 6) не с одним ответом не совпал!
Ответ дал:
0
В 5 степени правильные. Раскладывается по формулам сокращённого умножения.
Приложения:

Ответ дал:
0
спасибо вам большое!огромное
Вас заинтересует
2 года назад
2 года назад
8 лет назад
8 лет назад
10 лет назад
10 лет назад