Допоможіть будь ласка допоможіть дуже важливо даю всі бали які є...
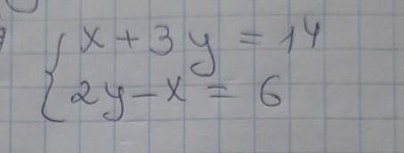
Розв'язати систему.
Приложения:

Ответы
Ответ дал:
0
Ответ:
Объяснение: Думаю так
Приложения:

Ответ дал:
0
{x=14-3y
{2y-x=6
2y-(14-3y)=6
y=6
x=14-3*4
X=2
(x,y)=(2,4)
{2+3*4=14
{2*4-2=6
{14=14
{6=6
{2y-x=6
2y-(14-3y)=6
y=6
x=14-3*4
X=2
(x,y)=(2,4)
{2+3*4=14
{2*4-2=6
{14=14
{6=6
Приложения:

Вас заинтересует
2 года назад
2 года назад
8 лет назад
9 лет назад