• Предмет: Алгебра
  • Автор: tsarx3m
  • Вопрос задан 7 лет назад

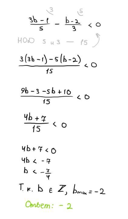
Помогите пожалуйста решить Найдите наибольшее число, которые является решением неравенства

Приложения:

Ответы

Ответ дал: JoTheFunnyBrain
1

Неравенство решается приведением к общему знаменателю.

Совершив все возможные упрощения, приходим к неравенству  \frac{4b+7}{15} < 0

Данная дробь отрицательна при 4b-7 < 0, откуда получаем  b < -\frac{7}{4}.

Ответ: -2

Приложения:
Вас заинтересует