• Предмет: Алгебра
  • Автор: dimabos2007
  • Вопрос задан 7 лет назад

помогите решить ривняння

Приложения:

Ответы

Ответ дал: dreamer312
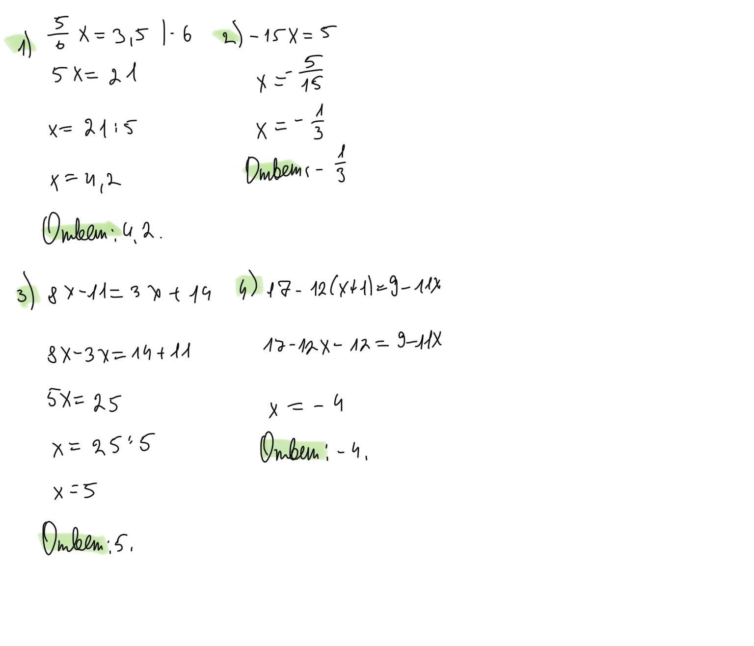
1

Решение на фото

надеюсь помогла <З

Удачи:з

Приложения:
Ответ дал: NNNLLL54
0

Ответ:

1.  Решить уравнения. Приводим уравнения к виду, когда в левой его части записано выражение, зависящее от  х , а в правой части записано число .

1)\ \ \dfrac{5}{6}\, x=3,5\ \ \to \ \ \ 5x=6\cdot 3,5\ \ ,\ \ 5x=21\ \ ,\ \ x=21:5\ \ ,\ \ x=4,2\\\\2)\ \ -15x=5\ \ \to \ \ x=-\dfrac{5}{15}\ \ ,\ \ \ x=-\dfrac{1}{3}\\\\3)\ \ 8x-11=3x+14\ \ \to \ \ \ 8x-3x=14+11\ \ ,\ \ 5x=25\ \ ,\ \ x=5\\\\4)\ \ 17-12(x+1)=9-11x\\\\17-12x-12=9-11x\\\\5-12x=9-11x\\\\11x-12x=9-5\\\\-x=4\\\\x=-4

2.\ \ \ (a+6)\, x=28\ \ ,\ \ x=7\\\\(a+6)\cdot 7=28\\\\a+6=4\\\\a=4-6\\\\a=-2

При  а= -2 заданное уравнение имеет корень, равный 7 .

Вас заинтересует