• Предмет: Физика
  • Автор: Sasrtyu
  • Вопрос задан 7 лет назад

Фізика((7 Клас(( задача((
Яка робота виконується під час підйому гранітної плити об'ємом 2 м у кубі на висоту 12 метрів? чому дорівнюватиме робота, якщо цю плиту піднімати на ту ж висоту у воді?

Ответы

Ответ дал: Аноним
6

Дано:

V=2м квадрат

h=12м

p(граніту) = 2700кг на м у кубі

Знайти А-?

 =============================================================

                                                     Рішення:

A=m*g*h

m=p*v

m=2700*2=5400кг

А=5400*10*12=648000Дж=648кДж Відповідь:648кДж

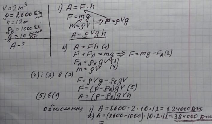
Ответ дал: zybkov1950
0

Ответ:    624 кДж      384 кДж

Объяснение:  Див. додаток

Приложения:
Вас заинтересует