• Предмет: Физика
  • Автор: plotnikova0505
  • Вопрос задан 7 лет назад

Помогите, пожалуйста

Приложения:

Ответы

Ответ дал: artemraivin14
0

Ответ:

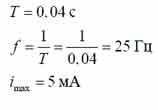
1 решение вроде определено так

Приложения:
Вас заинтересует