• Предмет: Математика
  • Автор: djdjsjissioaao
  • Вопрос задан 7 лет назад


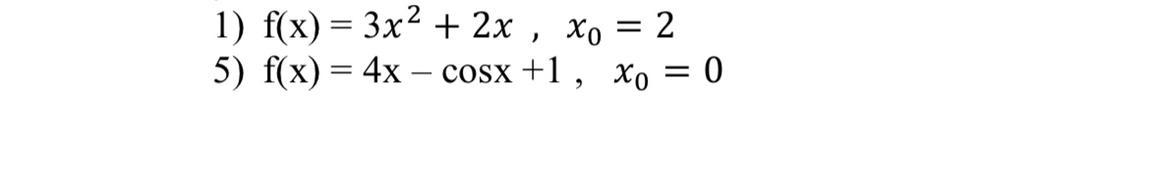
Написать уравнение касательной к графику функции y=f(x) в точке х0:

Приложения:

Ответы

Ответ дал: oabzal11
1
Уравнения касательной
Приложения:

djdjsjissioaao: спасибо
Вас заинтересует