Ответы
Ответ дал:
1
Ответ:
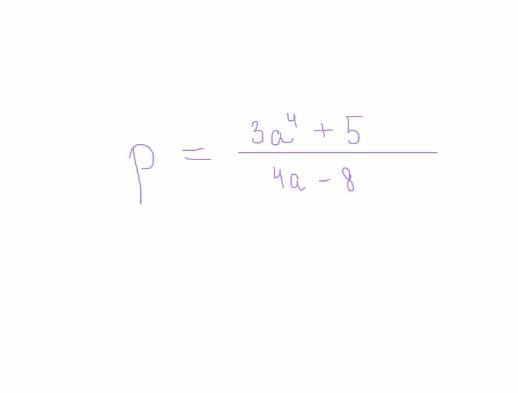
3а⁴+5=8а⁴
4а-8= -4а
8а⁴:-4а= -2а⁴
Вас заинтересует
2 года назад
2 года назад
3 года назад
3 года назад
8 лет назад
10 лет назад