Ответы
Ответ дал:
0
Ответ:
6
Объяснение:
Подробное объяснение на фото
Приложения:

Ответ дал:
0
Ответ: 6
Объяснение:
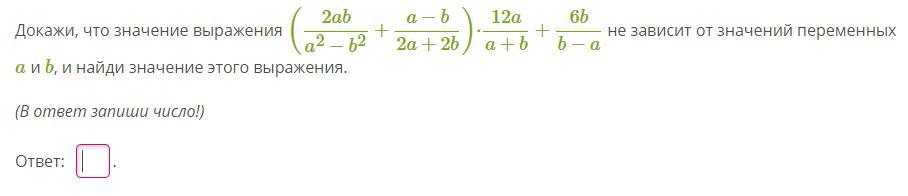
слегка упростим выражение
((2аb/((a-b)*(a+b))+((a-b)/(2(a+b)))*(12a/(a+b))-6b/(a-b)=
((4ab+a²-2ab+b²)*12a)/(2*(a-b)(a+b))-6b/(a-b)=(a+b)²*12a/((a+b)²*(a-b)*2)=
6a/(a-b)-6b/(a-b)=6*(a-b)/(a-b)=6
использовал формулы (а-с)²=а²-2ас+с²; (а²+2ас+с²)=(а+с)²;
а²-с²=
(а-с)*(а+с)
Вас заинтересует
2 года назад
2 года назад
8 лет назад
9 лет назад
9 лет назад