Ответы
Ответ дал:
0
Ответ:
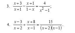
3. x=-3
4. x=-1
Объяснение:
если тебе надо решение могу скинуть
dsads40:
можно решение 4?
Ответ дал:
1
Ответ:
3. Ответ: х=-3
4. Ответ: х=-1
Объяснение:
Приложения:


Вас заинтересует
2 года назад
2 года назад
8 лет назад
8 лет назад
9 лет назад