Спростіть вираз -4 * (3,6x - 2) - (3 - 2,1x) + 5 * (0,3x - 6) і обчисліть його значення при x = -5/27
Ответы
Ответ дал:
3
Ответ:
Пошаговое объяснение:
Приложения:

Ответ дал:
3
Ответ:
Пошаговое объяснение:
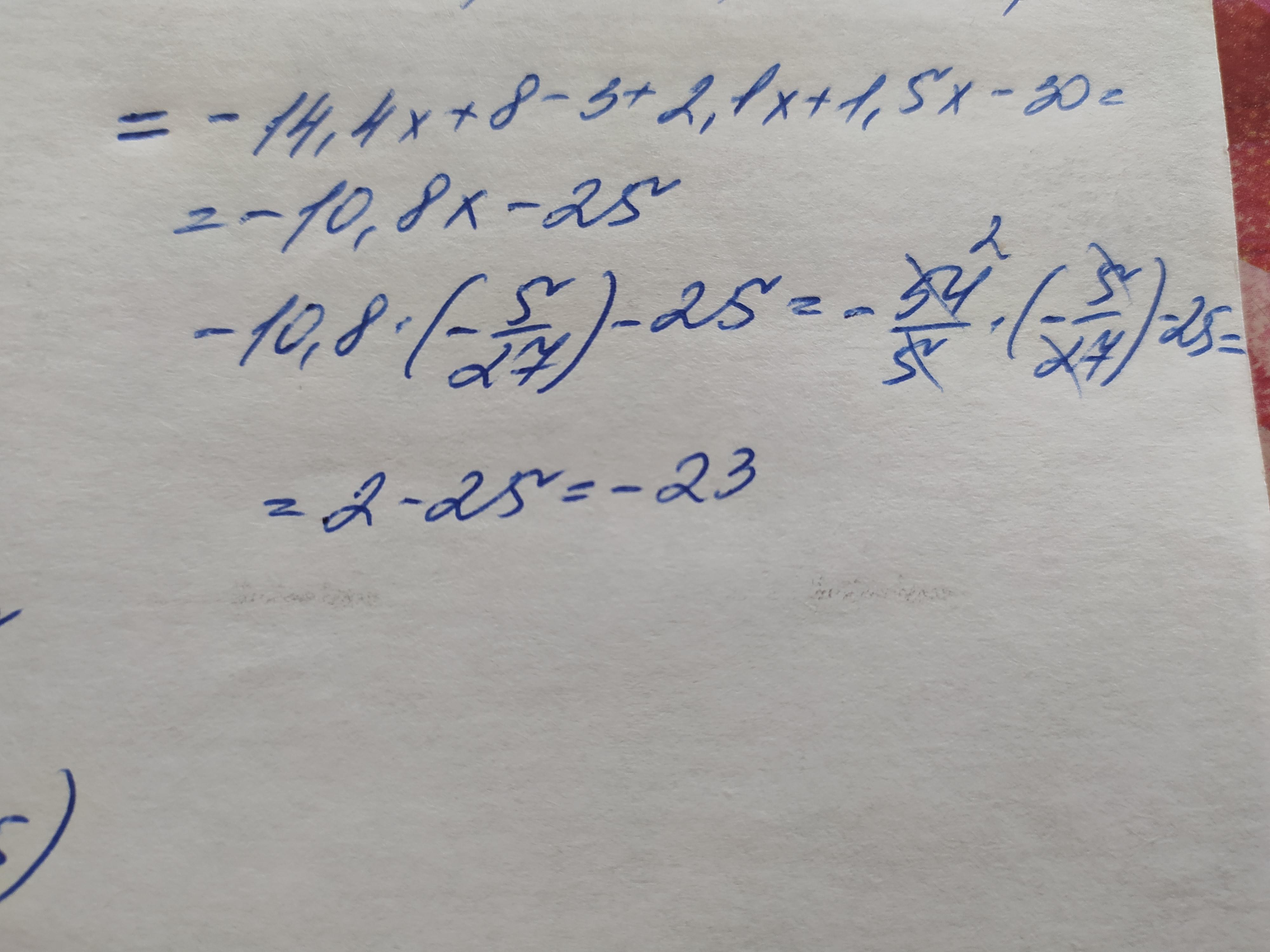
-4 (3.6x-2)-(3-2.1x)+5 (0.3x-6)=
= -14.4x+8-3+2.1x+1.5x-30=
= -14.4x+3.6x+8-33=
= -10.8x-25=
Якщо x= -5/27 то
= -10.8*(-5/27)-25=
= -10 8/10*(-5/27)-25=
= 540/270-25=
= 2-25=
= -23
Вас заинтересует
2 года назад
2 года назад
2 года назад
2 года назад
8 лет назад
8 лет назад
9 лет назад