• Предмет: Математика
  • Автор: Аноним
  • Вопрос задан 7 лет назад

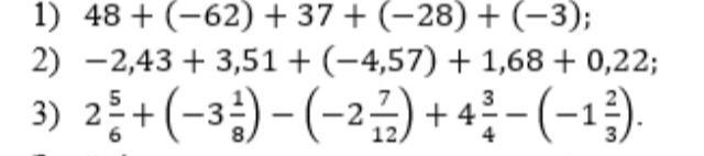
Помогите срочно!!!!!!!!!!!!

Приложения:

Ответы

Ответ дал: MrDifich
0

Пошаговое объяснение:

1) -8

2)1.59

Ответ дал: iradarzayeva2013
0

Ответ:1)-8 2)1,559

Пошаговое объяснение:

Вас заинтересует