Ответы
Ответ дал:
1
Ответ:
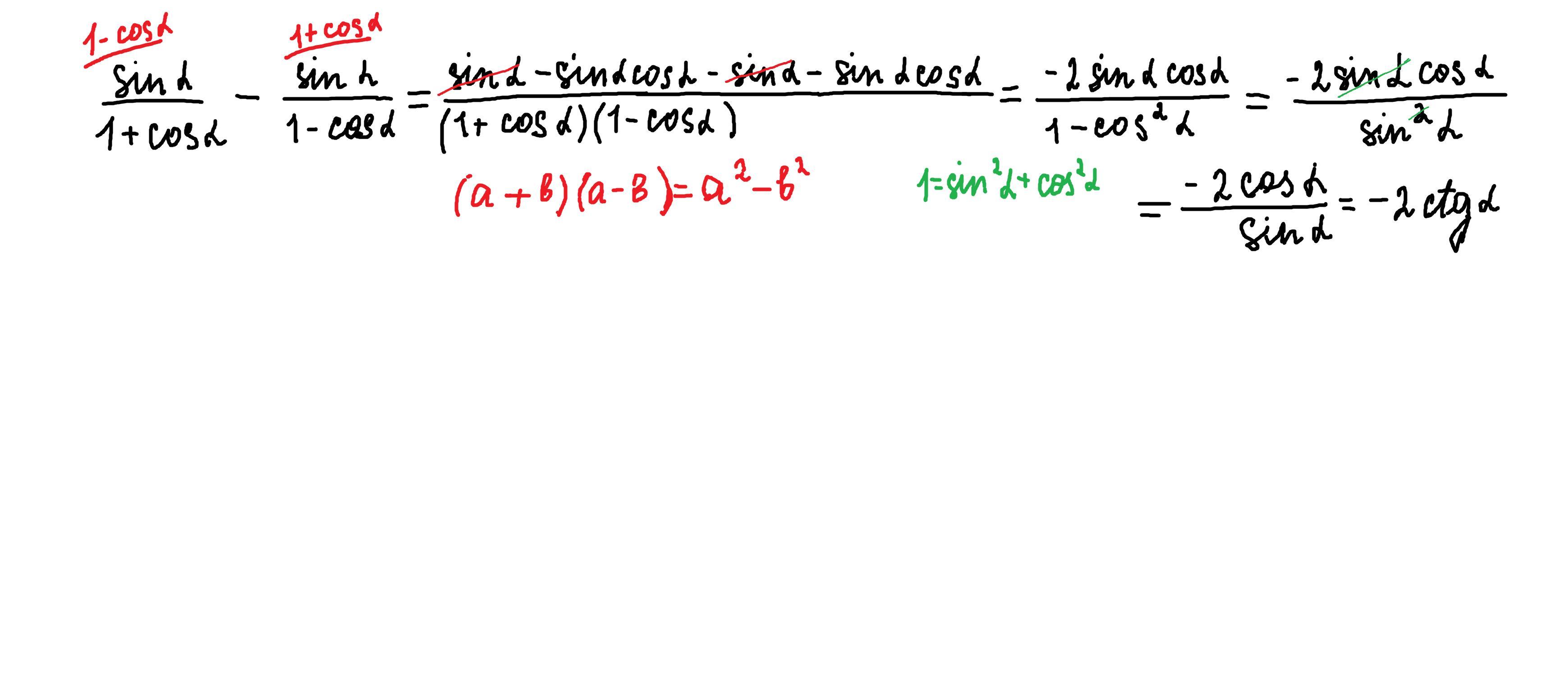
-2ctgα
Объяснение:решение внизу
Приложения:

valeriailo201217:
большое спасибо!
Ответ дал:
2
Ответ:
= - 2 ctg a
Объяснение:
Вас заинтересует
2 года назад
2 года назад
2 года назад
8 лет назад
8 лет назад
9 лет назад
9 лет назад