• Предмет: Алгебра
  • Автор: forgezatka
  • Вопрос задан 7 лет назад

Срочно, даю 100 балів.

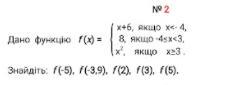
Приложения:

Ответы

Ответ дал: Universalka
1

\displaystyle\bf\\1)\\\\-5 < -4 \  \  \ \Rightarrow \  \ f(-6)=x+6=-6+6=0\\\\\boxed{\boxed{f(-6)=0}}\\\\\\2)\\\\-4\leq -3,9 < 3 \  \  \ \Rightarrow \  \  \ \boxed{\boxed{f(-3,9)=8}}\\\\\\3)\\\\-4\leq 2 < 3 \  \  \ \Rightarrow \  \  \ \boxed{\boxed{f(2)=8}}\\\\\\4)\\\\3\geq 3 \  \  \ \Rightarrow \  \  \ f(3)=x^{2} =3^{2} =9\\\\\boxed{\boxed{f(3)=9}}\\\\\\5)\\\\5\geq 3 \  \  \ \Rightarrow \  \  \ f(5)=x^{2} =5^{2} =25\\\\\boxed{\boxed{f(5)=25}}

Вас заинтересует