Ответы
Ответ дал:
0
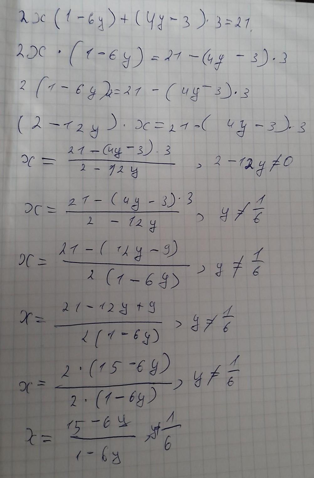
Ответ на картинке, если что..
Приложения:

Вас заинтересует
2 года назад
2 года назад
2 года назад
2 года назад
8 лет назад
8 лет назад
9 лет назад