• Предмет: Алгебра
  • Автор: tanygr1972
  • Вопрос задан 7 лет назад

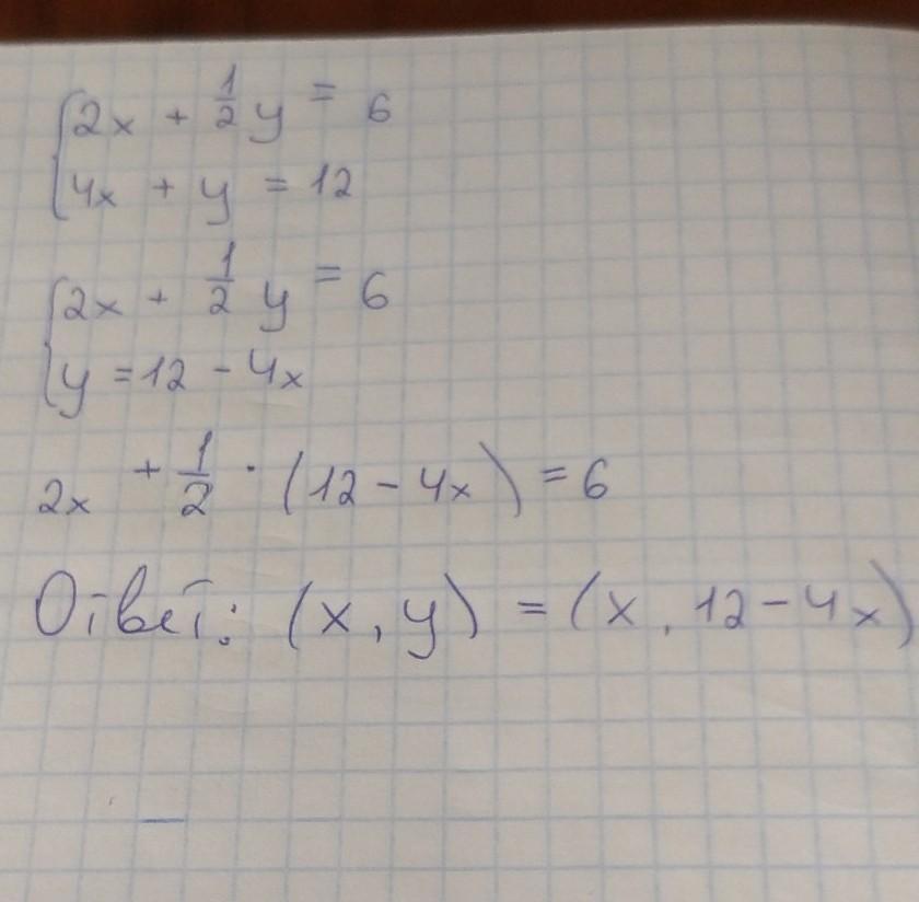
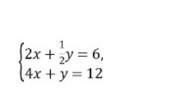
Допоможіть будь ласка​

Приложения:

Ответы

Ответ дал: levinanacty2020
0

.....................

Приложения:
Вас заинтересует