ДОПОМОЖІТЬ,БУДЬ ЛАСКА. ДАЮ 30 БАЛІВ!!!!
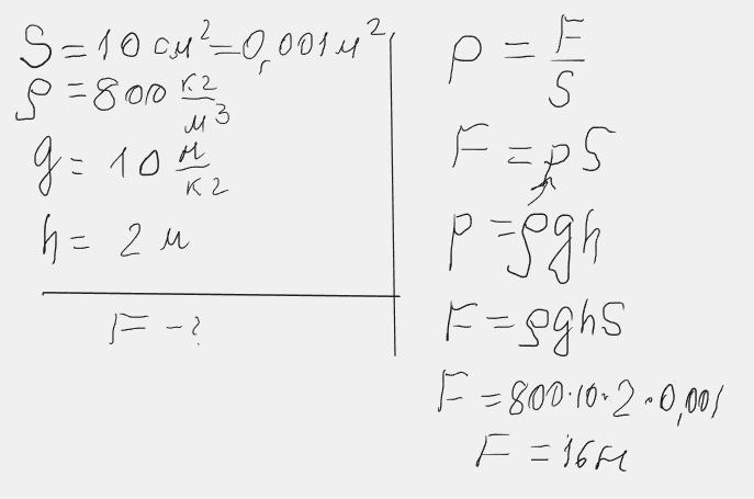
Визначити силу тиску нафти на пробку площею 10см². Центр пробки знаходиться на 2 м нижче від рівня рідини.
ВІДПОВІДІ:
1) 160 000 Н
2) 160 Н
3) 1 600 Н
4) 16 Н.
Ответы
Ответ дал:
1
Ответ: 4) 16 Н
Объяснение: Див. додаток
Приложения:

Вас заинтересует
2 года назад
2 года назад
2 года назад
2 года назад
8 лет назад
9 лет назад