• Предмет: Информатика
  • Автор: kinevmaksim452
  • Вопрос задан 7 лет назад

Очень срочно нужно
Дополните высказывание. Основная часть окна табличного процессора - рабочий _______. Ответ введите строчными буквами.


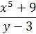
Выберите верную запись формулы в табличном процессоре.



8.31.11.png



(A2^5+9)/(A3-3)
=(B2^5+9)/(B3-3)
=(A2^5+9)/(A3-3)
(B2^5+9)/(B3-3)

Приложения:

Ответы

Ответ дал: sasapogosan38
0

Ответ


=(B2^5+9)/(B3-3

Объяснение:

Ответ дал: sofiastartceva
0

Ответ:

=(B3^5+9)/(B3-3)

Объяснение:

надо лишь знать, как писать такого рода формулы и уметь их правильно применять на практике

Вас заинтересует