Помогите срочно!
Пожалуста розв'язуйте в стовпчик.
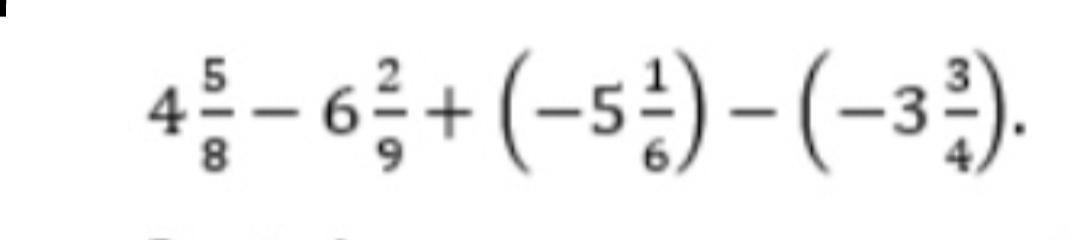
Тема: додавання і віднімання раціональних чисел. Даю 55 балов.
Приложения:

Аноним:
пишіть усі фрази українською.
Ответы
Ответ дал:
1
розв'язання завдання додаю. Але не стовпчик, бо не зрозуміла , що значить стовпчик для таких виразів.
Приложения:

Ответ дал:
1
Пошаговое объяснение:
удачи! ответ правильный на фото
Приложения:

Вас заинтересует
2 года назад
2 года назад
9 лет назад