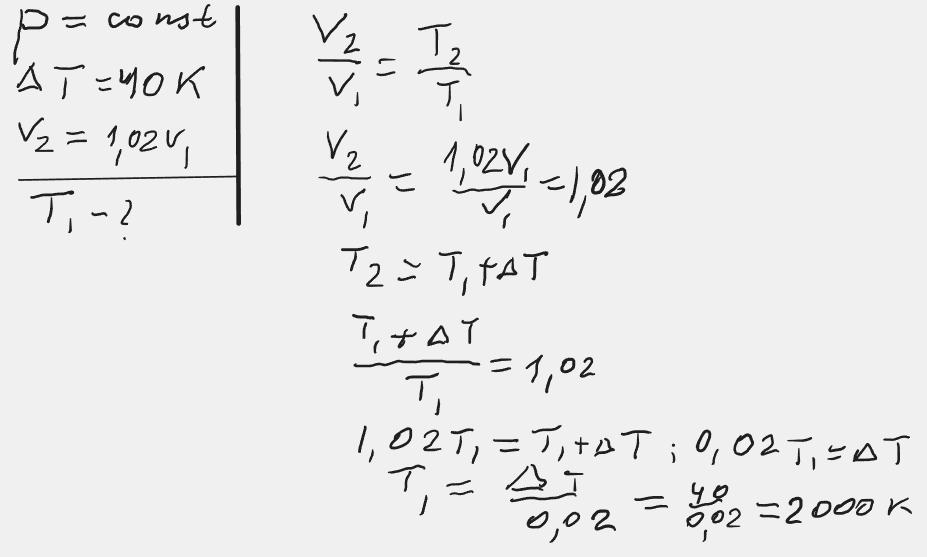
за якої температури містився газ, якщо в результаті ізобарного нагрівання на 40К його об'єм збільшився на 2%?
Ответы
Ответ дал:
1
Ответ: 2000 К
Объяснение: Див. додаток
Приложения:
Вас заинтересует
2 года назад
2 года назад
3 года назад
3 года назад
8 лет назад
8 лет назад
10 лет назад
10 лет назад