Ответы
Ответ дал:
1
Ответ:
правильный ответ на фотке
Приложения:

Ответ дал:
1
Ответ:
Пошаговое объяснение:
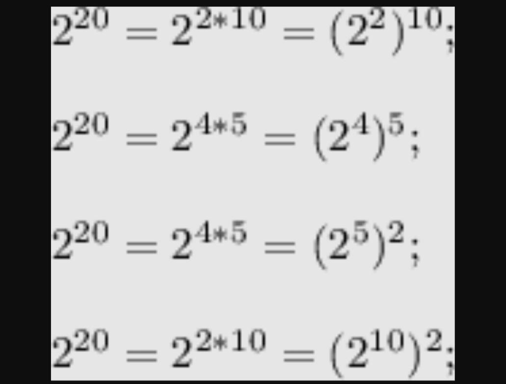
а) (2²)¹⁰ = 2²⁰
б) (2⁴)⁵ = 2²⁰
в) (2⁵)⁴ = 2²⁰
г) (2¹⁰)² = 2²⁰
Вас заинтересует
2 года назад
2 года назад
2 года назад
8 лет назад
8 лет назад
9 лет назад
9 лет назад