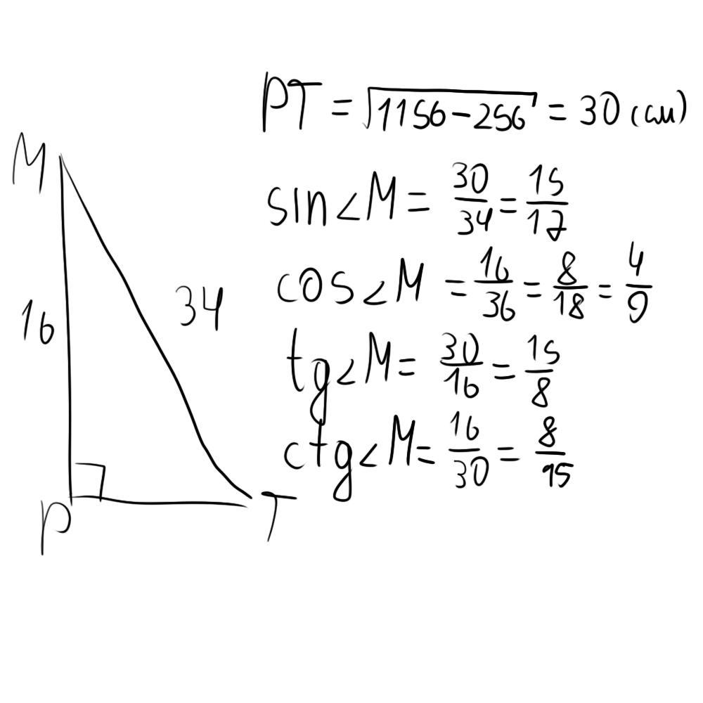
В прямоугольном треугольнике MPT катет Mp Равен 16 и гипотенуза МТ= 34 найдите синус М, косинус М, тангенс М, катангенс М
Ответы
Ответ дал:
0
Ответ:
Теорема Пифагора и определения тригонометрических функций
Объяснение:
Приложения:

Вас заинтересует
2 года назад
2 года назад
2 года назад
2 года назад
8 лет назад
9 лет назад
9 лет назад