Ответы
Ответ дал:
0
Ответ:
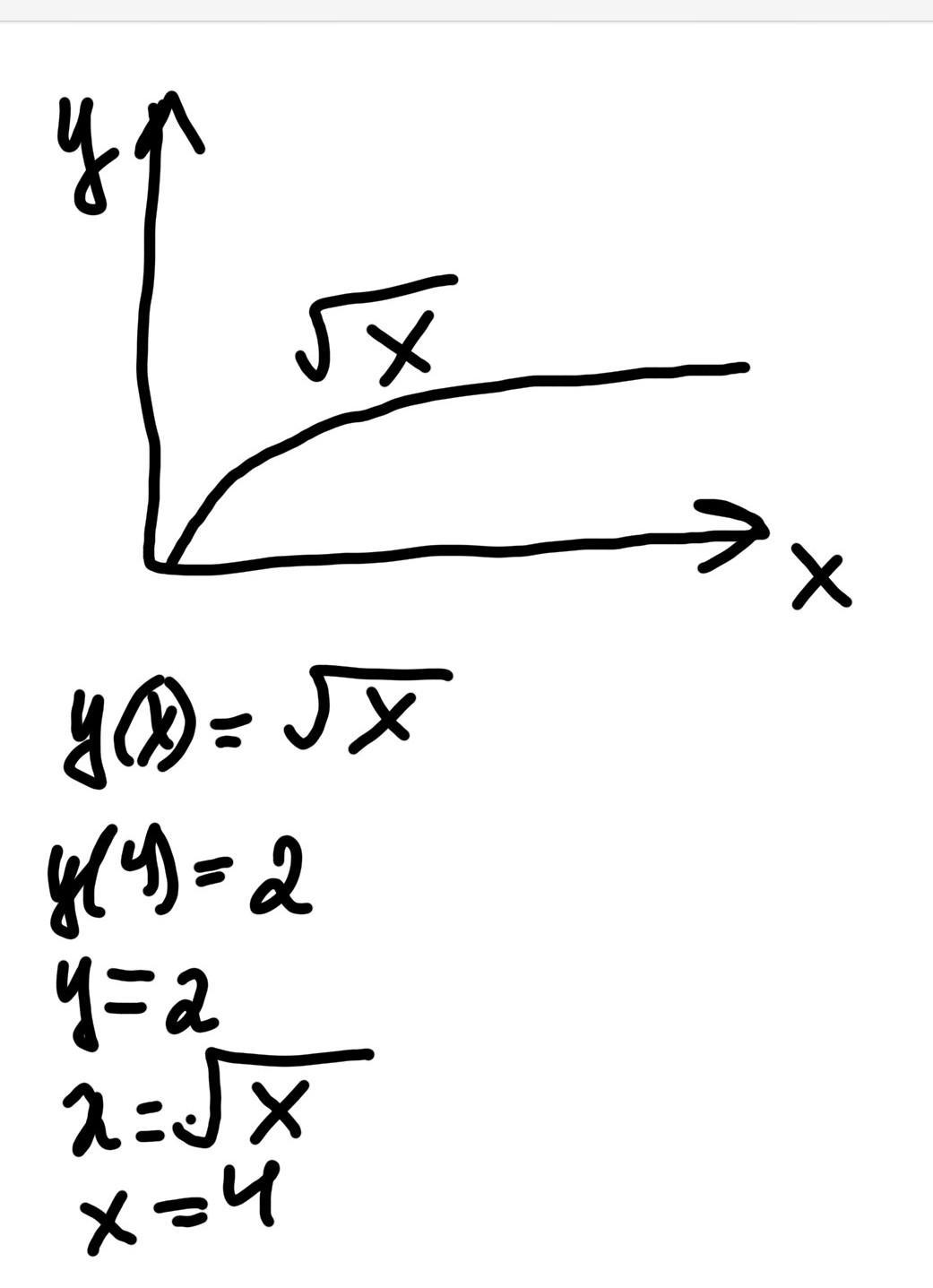
1)y=2
2)x=4
Объяснение:
y(4)=2
2=√x
x=4
Приложения:

Ответ дал:
0
Вопрос 1:
Вопрос 2:
Ответ: 2, 4
Приложения:

Вас заинтересует
2 года назад
2 года назад
2 года назад
8 лет назад
8 лет назад
9 лет назад