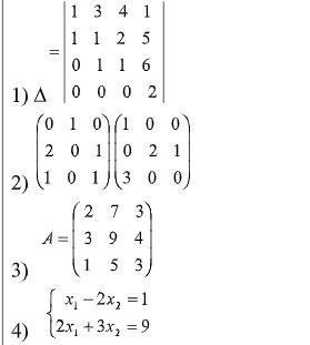
1. Вычислить определитель четвертого порядка, используя элементарные
преобразования.
2. Выполнить умножение матриц, предварительно определив размер новой
матрицы.
3. Транспонировать матрицу А.
4. Записать систему уравнений в матричном виде.
Приложения:

Ответы
Ответ дал:
0
1 треугольник
2 да
2 ц2
Вас заинтересует
2 года назад
2 года назад
2 года назад
8 лет назад
9 лет назад