• Предмет: Физика
  • Автор: yranester1
  • Вопрос задан 7 лет назад

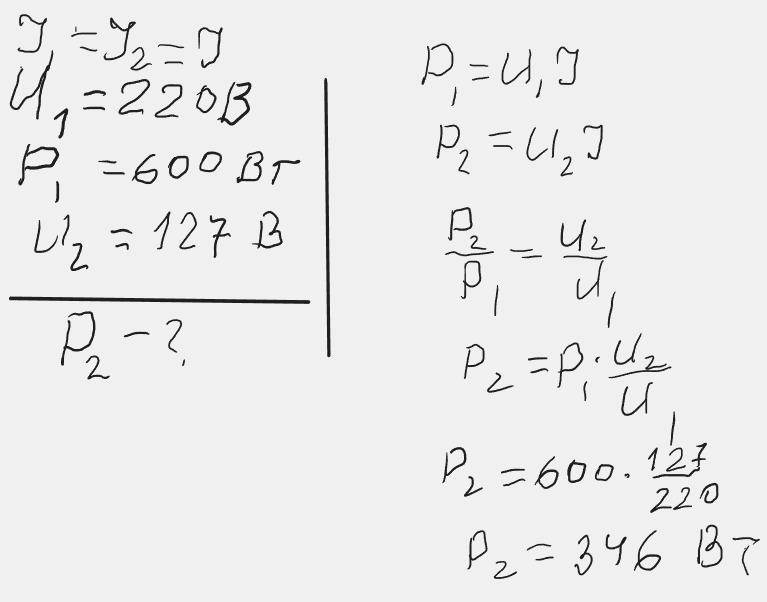
задача по физике 50 баллов ​

Приложения:

Ответы

Ответ дал: zybkov1950
0

Ответ:   346 Вт

Объяснение: Див. додаток

Приложения:
Вас заинтересует