Ответы
Ответ дал:
1
Ответ:
Пошаговое объяснение:
Приложения:

Аноним:
в первом + или -
Ответ дал:
0
Ответ:
Пошаговое объяснение:
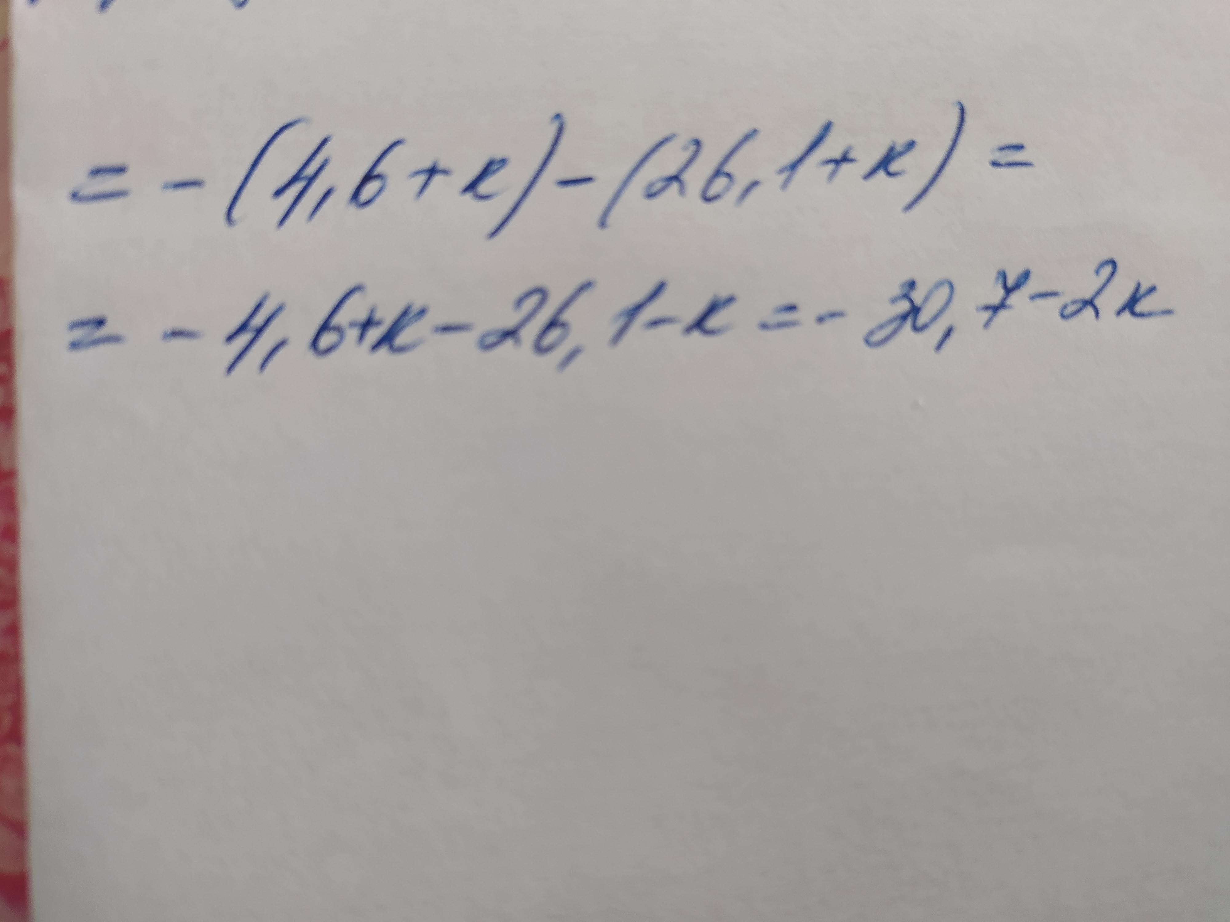
(-4,6 - к) - (26,1 + к) =
-4,6 - к - 26,1 - к = -30,7 - 2к
Вас заинтересует
2 года назад
2 года назад
8 лет назад
9 лет назад