• Предмет: Алгебра
  • Автор: dimakorez1
  • Вопрос задан 7 лет назад

ПОЖАЛУЙСТА!Алгебра 7кл
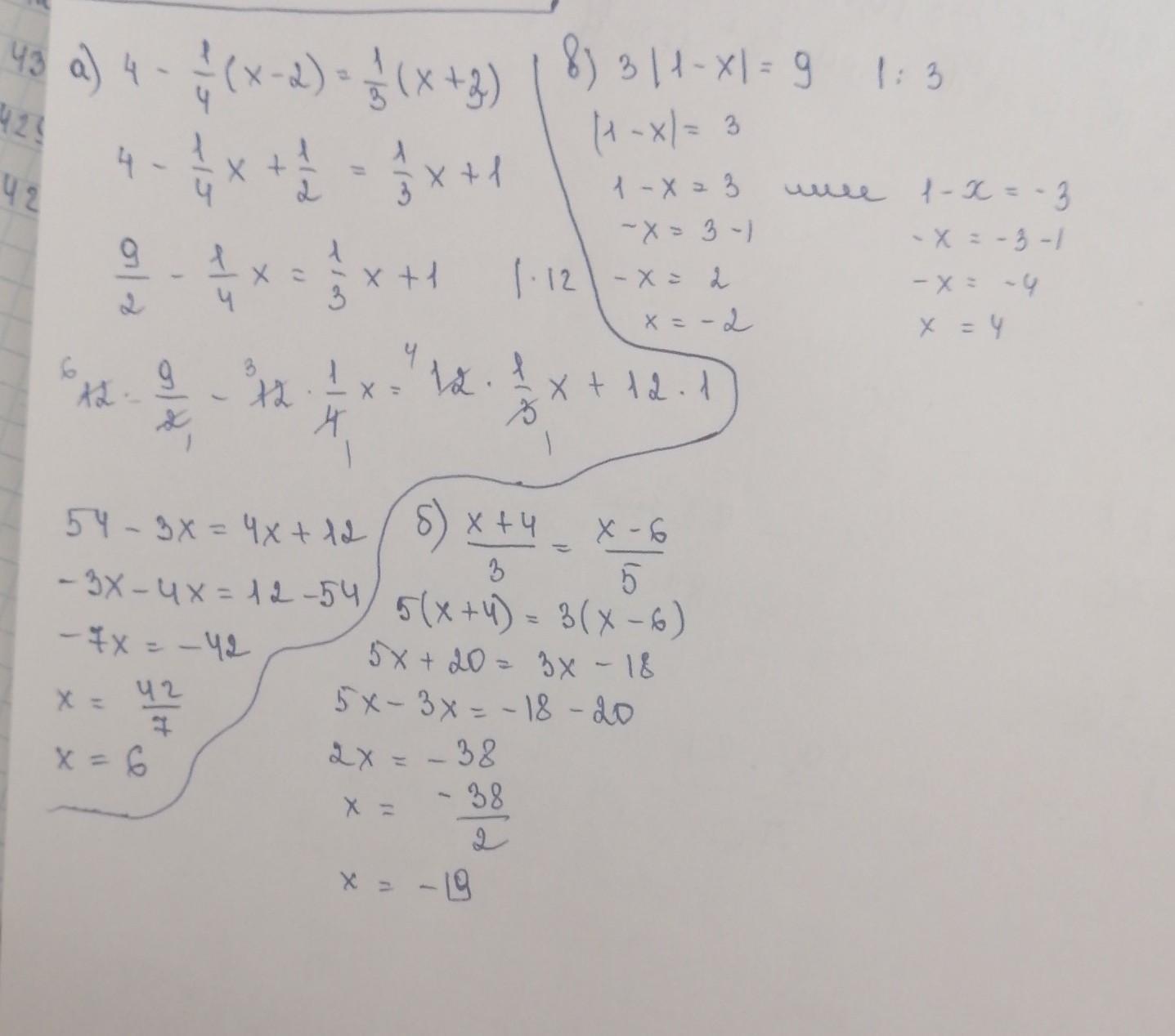
Нужно решить 3 уровнения(см.фото)
Решить а,б,в

Приложения:

Ответы

Ответ дал: vikasuhareva2001
1

Ответ:

Решение на фото, надеюсь все поймёте

Приложения:

dimakorez1: В варианте а) в 3 шаге там есть после отступа l+12,немного не понял как записать
vikasuhareva2001: там мы 12 умножаем на 3 строку, чтобы избавиться от дроби
vikasuhareva2001: вы так в школе не делаете?)
dimakorez1: Да нет,вроде
vikasuhareva2001: ну вообще должны) по правилам
Вас заинтересует