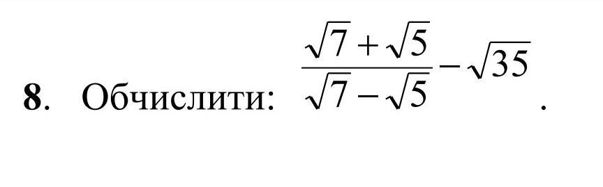
Ответы
Ответ дал:
0
Ответ:
хз но -корень из 29...................................
Объяснение:
тк
Ответ дал:
0
Ответ:
Смотри решение на фото..
Приложения:

Вас заинтересует
2 года назад
2 года назад
2 года назад
2 года назад
8 лет назад
8 лет назад
9 лет назад