Ответы
Ответ дал:
1
Ответ:
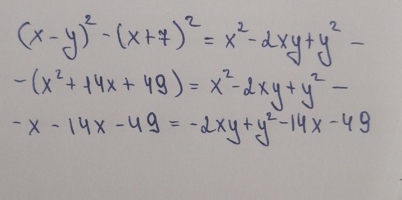
Решение на фото..................
Приложения:

Ответ дал:
1
Объяснение:
Вас заинтересует
2 года назад
2 года назад
2 года назад
2 года назад
8 лет назад