помогитееееееееееееееееееееееееееееееееееееееееееее
Приложения:

volos12037:
напишіть тільки відповідь
Ответы
Ответ дал:
1
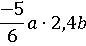
Відповідь:
-2ab
Покрокове пояснення:
Скоротимо , отримаємо
Вас заинтересует
2 года назад
2 года назад
2 года назад
9 лет назад