• Предмет: Алгебра
  • Автор: HermitTheFrog
  • Вопрос задан 7 лет назад

АЛГЕБРА 7 КЛАСС, ПОМОГИТЕ ПОЖАЛУЙСТА!!

Приложения:

Deku1109: Могу помочь :)

Ответы

Ответ дал: Deku1109
1

Ответ:

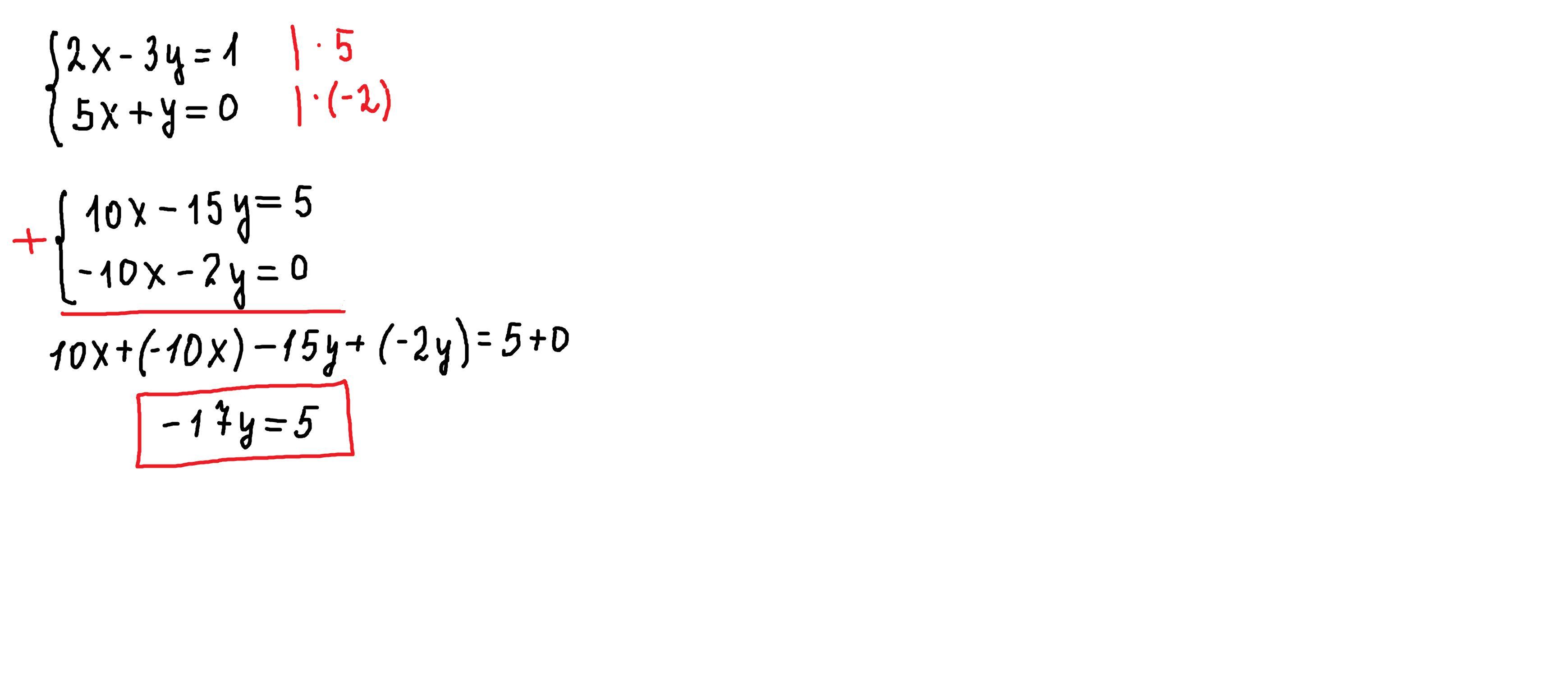
Из условия ясно, что первое уравнение умножали на 5, а второе на -2

В результате:

10х - 15у = 5    - первое уравнение

-10х - 2у = 0   - второе уравнение

Сложим почленно уравнения:

0х - 17у = 5

Правильный ответ: -17y = 5


HermitTheFrog: СПАСИБО!!!!!!!!
Ответ дал: parus77
0

Ответ:

-17у=5

Объяснение:

смотри внизу решение

Приложения:
Вас заинтересует