• Предмет: Математика
  • Автор: toliklukinov
  • Вопрос задан 7 лет назад

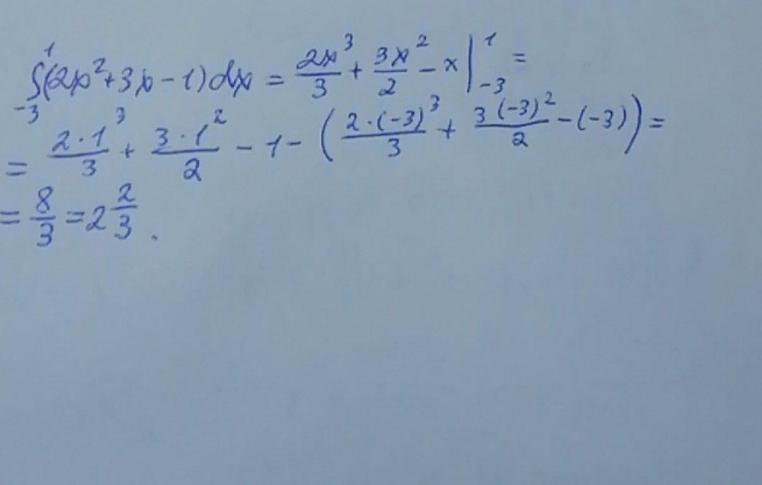
Вычислить определенный интеграл с помощью метода непосредственного интегрирования

Приложения:

Ответы

Ответ дал: yevheniiavz
1

смотрите фото..............................

Приложения:
Вас заинтересует