• Предмет: Алгебра
  • Автор: mavlonovbilol5
  • Вопрос задан 7 лет назад

Помогите пожалуйста решить.Срочно пожалуйста помогите!!!!Даю 20 баллов​

Приложения:

Ответы

Ответ дал: LaraCraft1507
1

Ответ:

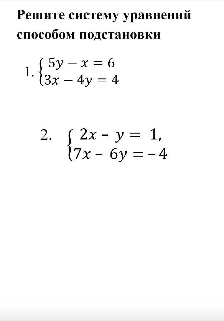
1. x=4

y=2

подставляем

5×2-4=6 верно

3×4-4×2=4 верно

2. х=2

у=3

подставляем

2×2-3=1 верно

7×2-6×3=-4 верно


mavlonovbilol5: спасибо
Ответ дал: ttfen1xx
1

Ответ:

готовое домашнее задание

Объяснение:

калькулятор

Вас заинтересует