• Предмет: Алгебра
  • Автор: neskrebov06
  • Вопрос задан 10 лет назад

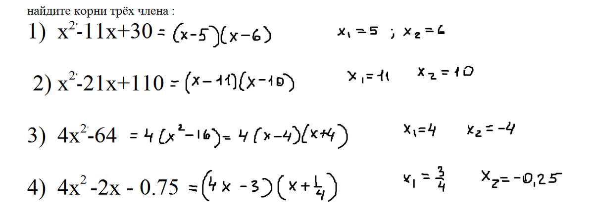
найдите корни трёх члена :  1)  х2-11х+30     2)    х2-21х+110      3)  4х2-64    4)  4х2 -2х - 0.75 

Ответы

Ответ дал: esmilya
0
Если понравилось решение - нажимай "спасибо" и "лучший" (рядом с кнопкой "спасибо") :)
Приложения:
Вас заинтересует