• Предмет: Алгебра
  • Автор: gariliscanua
  • Вопрос задан 7 лет назад

3x²-243=0 решите пожалуйсто с решением

Ответы

Ответ дал: manyny06
1

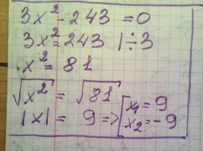
Ответ:

решение смотри на фотографии

Приложения:
Ответ дал: dmitrijbobrikov410
0

Ответ:

Объяснение:3x²-243=0

3x²=243

x²=243/3

x²=81

x=√81=9

Вас заинтересует