Ответы
Ответ дал:
1
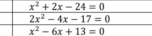
1) х1=6
х2=-4
2) так як перед ікс квадрат стоїть 2, то не можна вирішити через теорему Вієта. тільки через дискримінант
Д=16-4•2•(-17)= 152
√Д= √38•4= 2 √38
х1= 4+2 √38/2•2= 2(2+ √38)/4= 2+ √38/2
х2= 2-√38/2
3) тут, мабуть, немає коренів через Вієта.
д=36-4•1•13=16
√д=4
х1= 6+4/2= 5
х2= 6-4/2=1
/- це дробова риска
сподіваюсь, що допомогла
х2=-4
2) так як перед ікс квадрат стоїть 2, то не можна вирішити через теорему Вієта. тільки через дискримінант
Д=16-4•2•(-17)= 152
√Д= √38•4= 2 √38
х1= 4+2 √38/2•2= 2(2+ √38)/4= 2+ √38/2
х2= 2-√38/2
3) тут, мабуть, немає коренів через Вієта.
д=36-4•1•13=16
√д=4
х1= 6+4/2= 5
х2= 6-4/2=1
/- це дробова риска
сподіваюсь, що допомогла
Вас заинтересует
2 года назад
3 года назад
3 года назад
8 лет назад
8 лет назад
10 лет назад